skip to main | skip to sidebar

Historia de Mexico 2

sábado, 26 de noviembre de 2011

1+1+1+...=-1/2

Publicado por paolakorn en 0:38 No hay comentarios:

viernes, 25 de noviembre de 2011

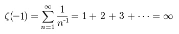
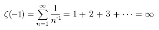
1+2+3+...infinito


Publicado por paolakorn en 0:36 No hay comentarios:

jueves, 24 de noviembre de 2011

David Hilbert

Publicado por paolakorn en 23:21 No hay comentarios:

sábado, 12 de noviembre de 2011

El número áureo


Publicado por paolakorn en 14:16 No hay comentarios:

jueves, 28 de julio de 2011

Ecuaciones Diferenciales lineales en series de potencia

Publicado por paolakorn en 13:21 No hay comentarios:

lunes, 25 de julio de 2011

método de variación de parámetros

Publicado por paolakorn en 15:00 No hay comentarios:

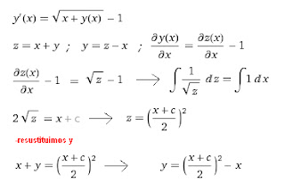
ECUACIÓN DIFERENCIAL DE LA FORMA y' = G(ax+ by)

Publicado por paolakorn en 1:01 No hay comentarios:
Entradas antiguas Inicio
Suscribirse a: Entradas (Atom)

Archivo del blog

  • ►  2008 (21)
    • ►  mayo (20)
    • ►  noviembre (1)
  • ►  2010 (25)
    • ►  julio (1)
    • ►  agosto (23)
    • ►  septiembre (1)
  • ▼  2011 (19)
    • ►  julio (15)
    • ▼  noviembre (4)
      • El número áureo
      • David Hilbert
      • 1+2+3+...infinito
      • 1+1+1+...=-1/2

Datos personales

paolakorn
Ver todo mi perfil